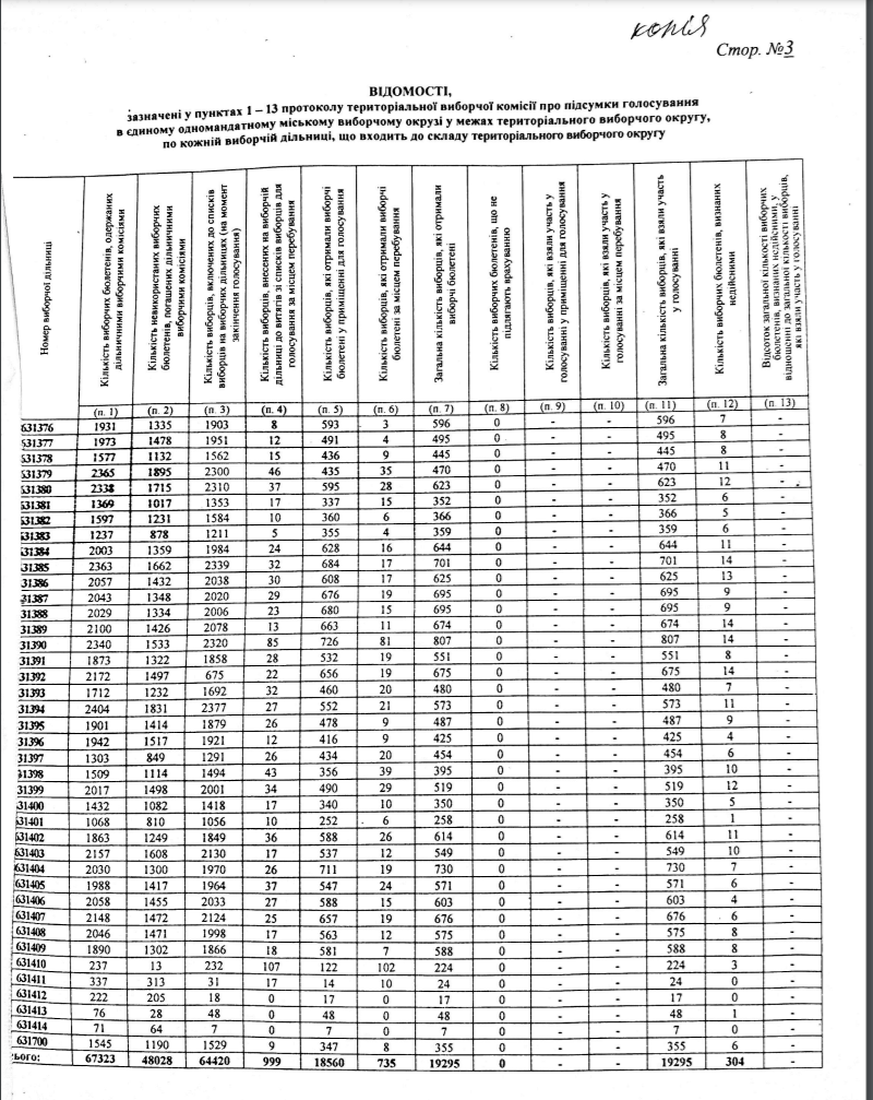
Спостерігачі ОПОРИ виявили розбіжності в даних протоколу про підсумки голосування та даних протоколу №12 засідання Холодногірської районної у Харкові територіальної виборчої комісії на виборчих дільницях №631376, 631377, 631378, 631381, 631382, 631383, 631384, 631385, 631386, 631388, 631389, 631391, 631392, 631393, 631395, 631396, 631397, 631398, 631399, 631400, 631401, 631402, 631403, 631404, 631405, 631406, 631407, 631408, 631409, 631700. Таким чином, виявлено розбіжності у протоколах на дільницях вже у третьому районі Харкова.
Так, у даних 30 з 40 виборчих дільниць територіального округу кількість голосів за кандидата Ігоря Терехова в протоколі про підсумки голосування виявилася більшою від занесеної в протокол №12 засідання ТВК, який отримали спостерігачі ОПОРИ. Кількість голосів за інших кандидатів пропорційно зменшувалася.
Відповідно на наступних ДВК зафіксована така розбіжність з даними підрахунку голосів:
- 631376 — 7 голосів;
- 631377 — 7 голосів;
- 631378 — 5 голосів;
- 631381 — 11 голосів;
- 631382 — 8 голосів;
- 631383 — 17 голосів;
- 631384 — 7 голосів;
- 631385 — 10 голосів;
- 631386 — 6 голосів;
- 631388 — 2 голоси;
- 631389 — 5 голосів;
- 631391 — 10 голосів;
- 631392 — 14 голосів;
- 631393 — 9 голосів;
- 631395 — 4 голоси;
- 631396 — 5 голосів;
- 631397 — 2 голоси;
- 631398 — 1 голос;
- 631399 — 7 голосів;
- 631400 — 7 голосів;
- 631401 — 2 голоси;
- 631402 — 5 голосів;
- 631403 — 9 голосів;
- 631404 — 26 голосів;
- 631405 — 23 голоси;
- 631406 — 8 голосів;
- 631407 — 9 голосів;
- 631408 — 8 голосів;
- 631409 — 7 голосів;
- 631700 — 7 голосів.
Загальна розбіжність у кількості голосів по Холодногірській районній у місті Харкові територіальної виборчої комісії Харківської області становить 248 голосів на користь Терехова.
Протокол про підсумки голосування Холодногірської районної у місті Харкові територіальної виборчої комісії







Протокол №12 засідання Холодногірської районної у Харкові територіальної виборчої комісії






































Окрім того спостерігачі ОПОРИ безпосередньо були присутні та отримали копії протоколів про підрахунок голосів з наступних дільниць, де виявлені розбіжності: №631376, 631378, 631382, 631383, 631386, 631389, 631392, 631398, 631401, 631403, 631405, 631408 (всього — 12 дільниць). Варто відзначити, що протоколи з позначкою “Уточнений” на засіданні ДВК ВД №631376, 631378, 631382, 631383, 631386, 631389, 631392, 631398, 631401, 631403, 631405, 631408 з підрахунку голосів виборців на цих виборчих дільницях не складали, відповідно, уточнення до протоколів не здійснювалися. А всі дані копій протоколів про підрахунок голосів, отримані на виборчій дільниці нашими спостерігачами, відповідають даним, що зазначені у протоколі №12 засідання Холодногірської районної у Харкові територіальної виборчої комісії, який був наданий спостерігачеві ОПОРИ, що здійснював спостереження на Холодногірській виборчій комісії.
|
Джерело даних |
Номер виборчої дільниці |
Величков |
Добкін |
Марінін |
Мустафаєва |
Немічев |
Плетньов |
Ряполов |
Скорик |
Терехов |
Ярославський |
|
ТВК |
631376 |
1 |
204 |
4 |
25 |
18 |
15 |
3 |
25 |
288 |
6 |
|
ОПОРА |
631376 |
1 |
204 |
4 |
27 |
19 |
15 |
3 |
29 |
281 |
6 |
|
Різниця |
|
0 |
0 |
0 |
-2 |
-1 |
0 |
0 |
-4 |
7 |
0 |
|
ТВК |
631378 |
1 |
120 |
3 |
11 |
15 |
7 |
4 |
18 |
244 |
14 |
|
ОПОРА |
631378 |
1 |
120 |
3 |
13 |
16 |
7 |
4 |
20 |
239 |
14 |
|
Різниця |
|
0 |
0 |
0 |
-2 |
-1 |
0 |
0 |
-2 |
5 |
0 |
|
ТВК |
631382 |
0 |
101 |
9 |
13 |
14 |
17 |
0 |
17 |
180 |
10 |
|
ОПОРА |
631382 |
0 |
101 |
9 |
15 |
16 |
19 |
0 |
19 |
172 |
10 |
|
Різниця |
|
0 |
0 |
0 |
-2 |
-2 |
-2 |
0 |
-2 |
8 |
0 |
|
ТВК |
631383 |
0 |
108 |
1 |
7 |
11 |
9 |
1 |
14 |
198 |
4 |
|
ОПОРА |
631383 |
0 |
108 |
1 |
11 |
16 |
12 |
1 |
19 |
181 |
4 |
|
Різниця |
|
0 |
0 |
0 |
-4 |
-5 |
-3 |
0 |
-5 |
17 |
0 |
|
ТВК |
631386 |
5 |
161 |
2 |
10 |
17 |
20 |
3 |
30 |
352 |
12 |
|
ОПОРА |
631386 |
5 |
161 |
2 |
11 |
19 |
21 |
3 |
32 |
346 |
12 |
|
Різниця |
|
0 |
0 |
0 |
-1 |
-2 |
-1 |
0 |
-2 |
6 |
0 |
|
ТВК |
631389 |
1 |
156 |
10 |
20 |
23 |
15 |
3 |
25 |
392 |
15 |
|
ОПОРА |
631389 |
1 |
156 |
10 |
21 |
25 |
15 |
3 |
27 |
387 |
15 |
|
Різниця |
|
0 |
0 |
0 |
-1 |
-2 |
0 |
0 |
-2 |
5 |
0 |
|
ТВК |
631392 |
3 |
194 |
4 |
19 |
28 |
16 |
6 |
44 |
330 |
17 |
|
ОПОРА |
|
3 |
194 |
4 |
23 |
32 |
19 |
6 |
47 |
316 |
17 |
|
Різниця |
|
0 |
0 |
0 |
-4 |
-4 |
-3 |
0 |
-3 |
14 |
0 |
|
ТВК |
631398 |
1 |
85 |
2 |
6 |
3 |
13 |
0 |
18 |
254 |
3 |
|
ОПОРА |
631398 |
1 |
85 |
2 |
6 |
3 |
13 |
0 |
19 |
253 |
3 |
|
Різниця |
|
0 |
0 |
0 |
0 |
0 |
0 |
0 |
-1 |
1 |
0 |
|
ТВК |
631401 |
1 |
74 |
2 |
10 |
19 |
8 |
0 |
13 |
126 |
4 |
|
ОПОРА |
631401 |
1 |
74 |
2 |
11 |
20 |
8 |
0 |
13 |
124 |
4 |
|
Різниця |
|
0 |
0 |
0 |
-1 |
-1 |
0 |
0 |
0 |
2 |
0 |
|
ТВК |
631403 |
1 |
136 |
4 |
16 |
25 |
12 |
1 |
17 |
312 |
15 |
|
ОПОРА |
631403 |
1 |
136 |
4 |
18 |
28 |
14 |
1 |
19 |
303 |
15 |
|
Різниця |
|
0 |
0 |
0 |
-2 |
-3 |
-2 |
0 |
-2 |
9 |
0 |
|
ТВК |
631405 |
0 |
145 |
9 |
13 |
12 |
13 |
1 |
16 |
339 |
17 |
|
ОПОРА |
631405 |
0 |
145 |
9 |
18 |
17 |
18 |
1 |
24 |
316 |
17 |
|
Різниця |
|
0 |
0 |
0 |
-5 |
-5 |
-5 |
0 |
-8 |
23 |
0 |
|
Протокол підсумковий |
631408 |
1 |
161 |
3 |
12 |
32 |
15 |
1 |
24 |
310 |
8 |
|
ОПОРА |
631408 |
1 |
161 |
3 |
14 |
35 |
16 |
1 |
26 |
302 |
8 |
|
Різниця |
|
0 |
0 |
0 |
-2 |
-3 |
-1 |
0 |
-2 |
8 |
0 |
ОПОРА публікує свої копії протоколів з дільниць Харкова, де виявлено розбіжність у даних із протоколом районної комісії
вул.Благовіщенська 36, гімназія №13

сторінка 1

сторінка 2

сторінка 3
Виборча дільниця №631378
вул.Велика Панасівська 39, школа №136

сторінка 1

сторінка 2

сторінка 3
Виборча дільниця №631382
вул.Волонтерська 4/6, спортивна школа №8

сторінка 1

сторінка 2

сторінка 3
Виборча дільниця №631383
вул.Іллінська 40, школа №18

сторінка 1

сторінка 2

сторінка 3
Виборча дільниця №631386
вул.Підлісна 9, школа №126

сторінка 1

сторінка 2

сторінка 3
Виборча дільниця №631389
вул.Волонтерська 57, гімназія №152

сторінка 1

сторінка 2

сторінка 3
Виборча дільниця №631392
вул.Барикадна 51, коледж переробної та харчової промисловості

сторінка 1

сторінка 2

сторінка 3
Виборча дільниця №631398
вул.Кам’янець-Подільська, школа №69

сторінка 1

сторінка 2

сторінка 3
Виборча дільниця №631401
вул.Полтавський Шлях 9, Гарнізонний будинок офіцерів

сторінка 1

сторінка 2

сторінка 3

сторінка 4
Виборча дільниця №631403
вул.Башкирська 2, школа №87, фоє

сторінка 1

сторінка 2

сторінка 3
Виборча дільниця №631405
вул.Башкирська 2, школа №87, рекреація

сторінка 1

сторінка 2

сторінка 3
Виборча дільниця №631408
пров.Золочівський 1-й 3, гімназія №86, спортивна зала

сторінка 1

сторінка 2

сторінка 3
Зазначені факти можуть містити ознаки злочину, визначеного частиною 2 статтею 158-3 Кримінального кодексу України за підробку або незаконне виготовлення виборчої документації, документації референдуму, використання або зберігання незаконно виготовленої чи підробленої виборчої документації, документації референдуму, а так само включення до виборчої документації чи документації референдуму завідомо недостовірних відомостей.
За цими фактами ОПОРА планує подати заяву до поліції.
Раніше ОПОРА виявила сфальшовані протоколи підрахунку голосів на дев’яти дільницях у Новобаварському районі міста Харкова, а також зафіксували факт фальсифікації протоколу підрахунку голосів на виборчій дільниці №631675, яка розташована на пр. Лиманському 1 в Основ’янському районі міста Харкова.
За цими фактами заява до поліції вже була подана. Дані щодо неї зареєстровано в інформаційно-телекомунікаційній системі “Інформаційний портал Національної поліції України” (журналі єдиного обліку) Головного управління Національної поліції в Харківській області за №1220.
Довідково: Громадянська мережа ОПОРА проводить незалежне громадське спостереження за виборами міського голови Харкова, що відбудуться 31 жовтня. Довгострокові спостерігачі розпочали роботу ще до офіційного старту виборчого процесу, аби відстежувати випадки дочасної агітації потенційних кандидатів, зокрема й у соціальних мережах. У день голосування до них приєднаються короткотермінові спостерігачі, які відстежуватимуть хід голосування, фіксуватимуть порушення та проводитимуть паралельний підрахунок голосів виборців.